Предмет: Математика,
автор: AronWake
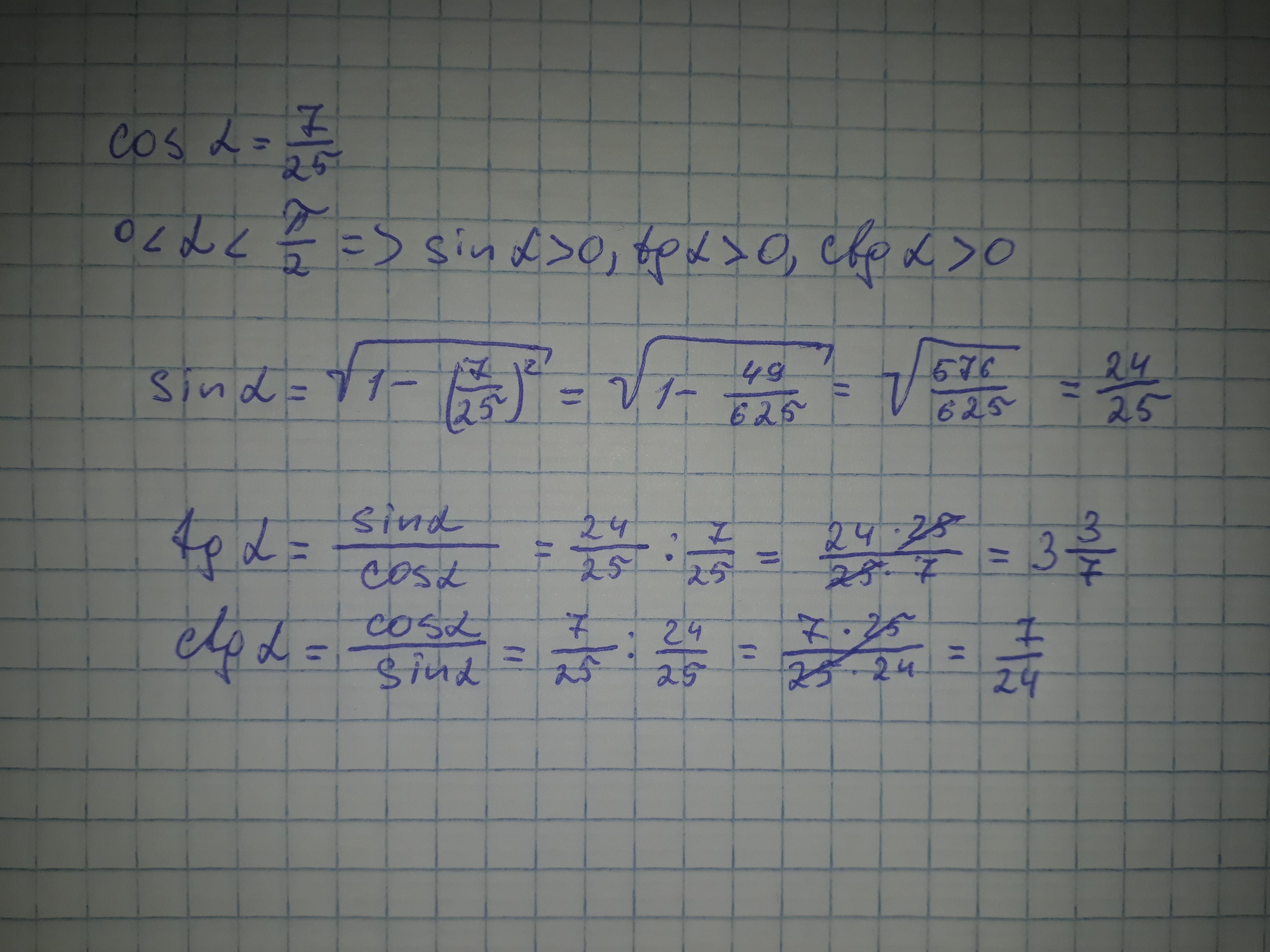
No8 Найдите значения остальных тригонометрических функций угла α, если известно, что
cos ∝ = 7/25 и 0< ∝< π/2
Ответы
Автор ответа:
1
Ответ: sin ∝ = 24/25, tg∝=24/7, ctg∝7/24
Пошаговое объяснение:
Приложения:
Похожие вопросы
Предмет: Русский язык,
автор: ЛИЗАУМНИЦА
Предмет: Қазақ тiлi,
автор: valikogan
Предмет: Английский язык,
автор: bradobrey
Предмет: Литература,
автор: anastasiastrel1
Предмет: Математика,
автор: shmel7871