Предмет: Алгебра,
автор: ChehranovaZina
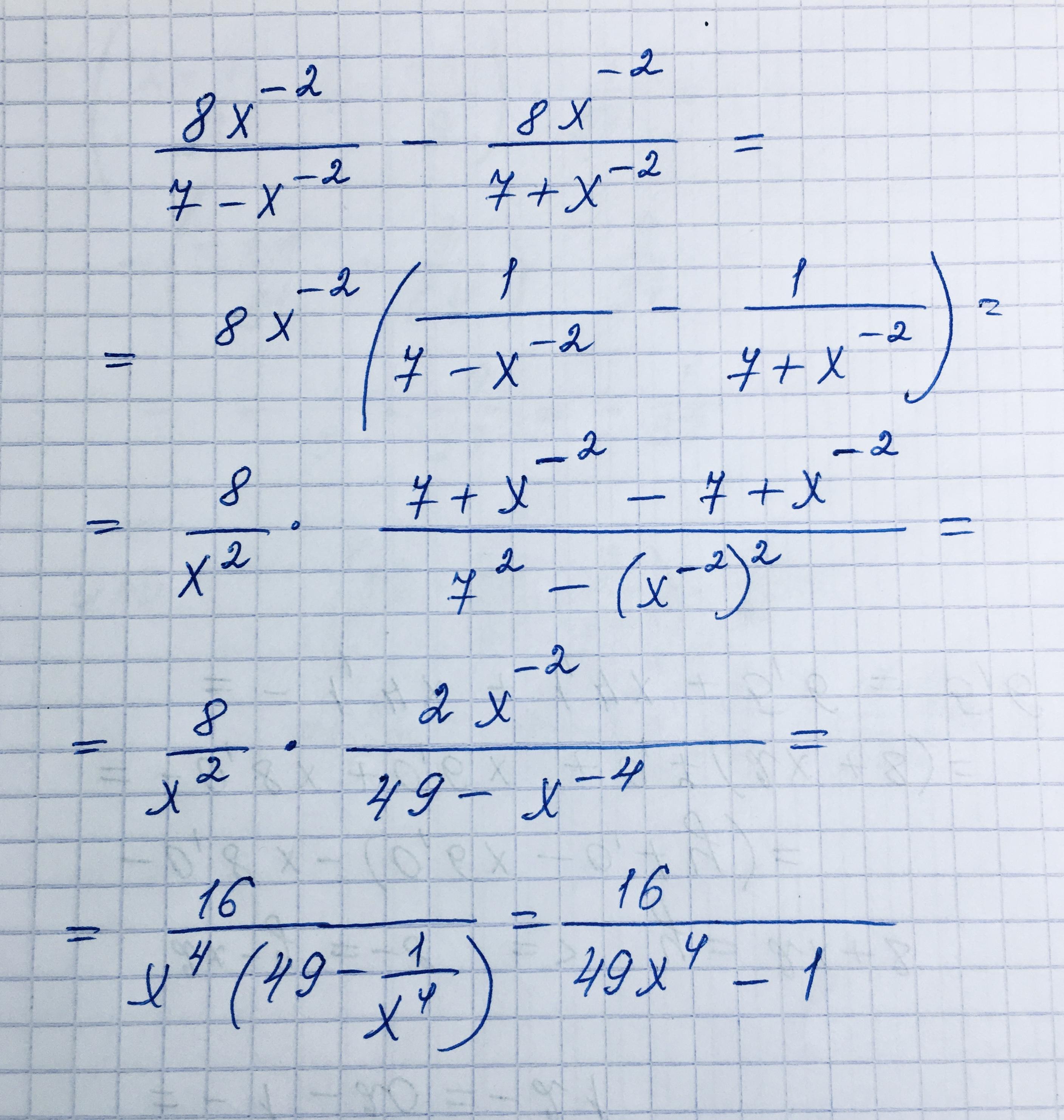
Помогите упростить выражение
Приложения:
Ответы
Автор ответа:
3
Ответ:
Объяснение:
..........................
Приложения:
Похожие вопросы
Предмет: Русский язык,
автор: Аноним
Предмет: Английский язык,
автор: дредд
Предмет: Русский язык,
автор: Аноним
Предмет: Биология,
автор: умныйчувачела