Предмет: Алгебра,
автор: VafelkaFil
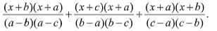
Упростить выражение, буду благодарна!
Приложения:
Ответы
Автор ответа:
5
Ответ:
Объяснение:
..............................
Приложения:
alikalhan222:
помогите с алгебра у меня в вопросах
Похожие вопросы
Предмет: Русский язык,
автор: КаринаКаринаКарина
Предмет: Русский язык,
автор: cgfqlb
Предмет: Русский язык,
автор: виола2005
Предмет: Математика,
автор: Аноним
Предмет: Алгебра,
автор: nasova2012