Предмет: Математика,
автор: sashagreeeyyy
Математика, кто решит , тому дай бог здоровчика.
и чтоб все стояло,кроме сердца
Приложения:
Ответы
Автор ответа:
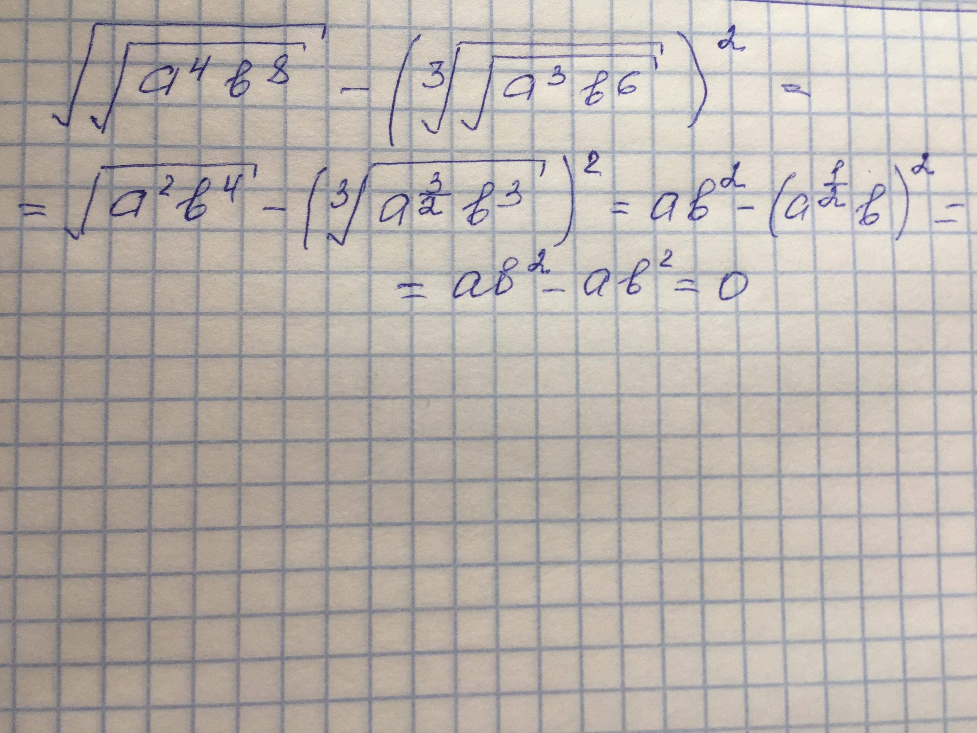
0
Ответ:
============================
Пошаговое объяснение:
Приложения:
Похожие вопросы
Предмет: Английский язык,
автор: raidamagomedova
Предмет: Русский язык,
автор: NAZIR007
Предмет: Українська мова,
автор: Аноним
Предмет: Математика,
автор: JuliaNik11
Предмет: Алгебра,
автор: nikita228nik1