Предмет: Математика,
автор: Аноним
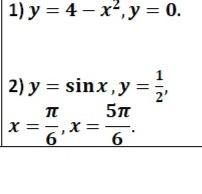
Вычислите (предварительно сделав рисунок) площадь фигуры, ограниченной линиями
Приложения:
Ответы
Автор ответа:
1
***************************Ответ:
Пошаговое объяснение:
Приложения:
Похожие вопросы
Предмет: Русский язык,
автор: liza23100
Предмет: Русский язык,
автор: nataliwellness
Предмет: Русский язык,
автор: BARBOS2003
Предмет: Информатика,
автор: aliyakarimova0
Предмет: История,
автор: математик1113