Предмет: Математика,
автор: shiskaed
Реши уравнение:
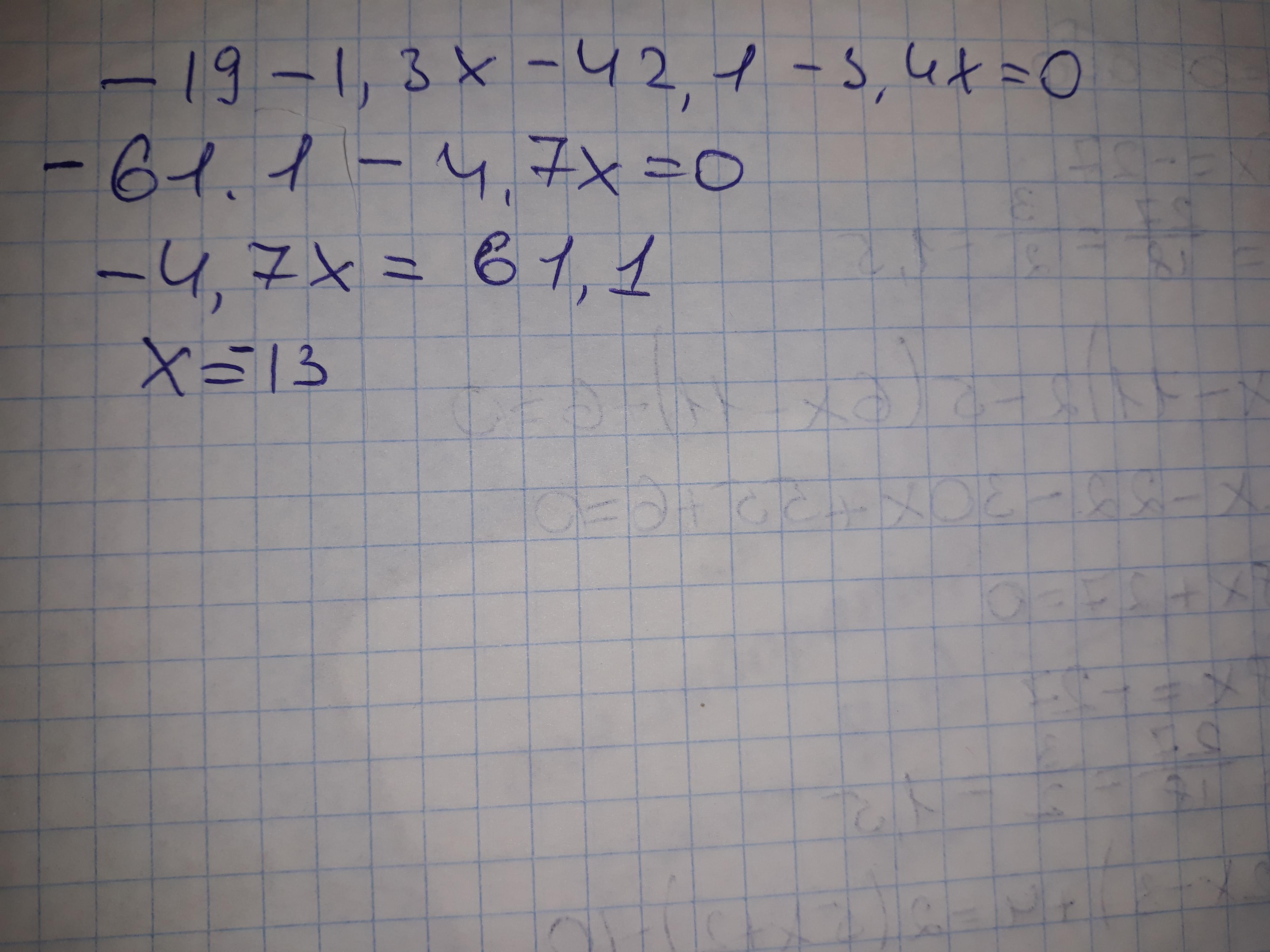
−19−1,3x=42,1+3,4x.
Ответ: x=
.
Ответы
Автор ответа:
0
Ответ:
ответом уравнения является -13
Автор ответа:
0
Ответ: -13
Пошаговое объяснение:
Приложения:
Похожие вопросы
Предмет: Русский язык,
автор: alieieksievich
Предмет: Русский язык,
автор: НастяКароч
Предмет: Русский язык,
автор: vika1402
Предмет: Биология,
автор: yanayarova00
Предмет: Математика,
автор: димаш36