Предмет: Математика,
автор: kudriavtsevairina1
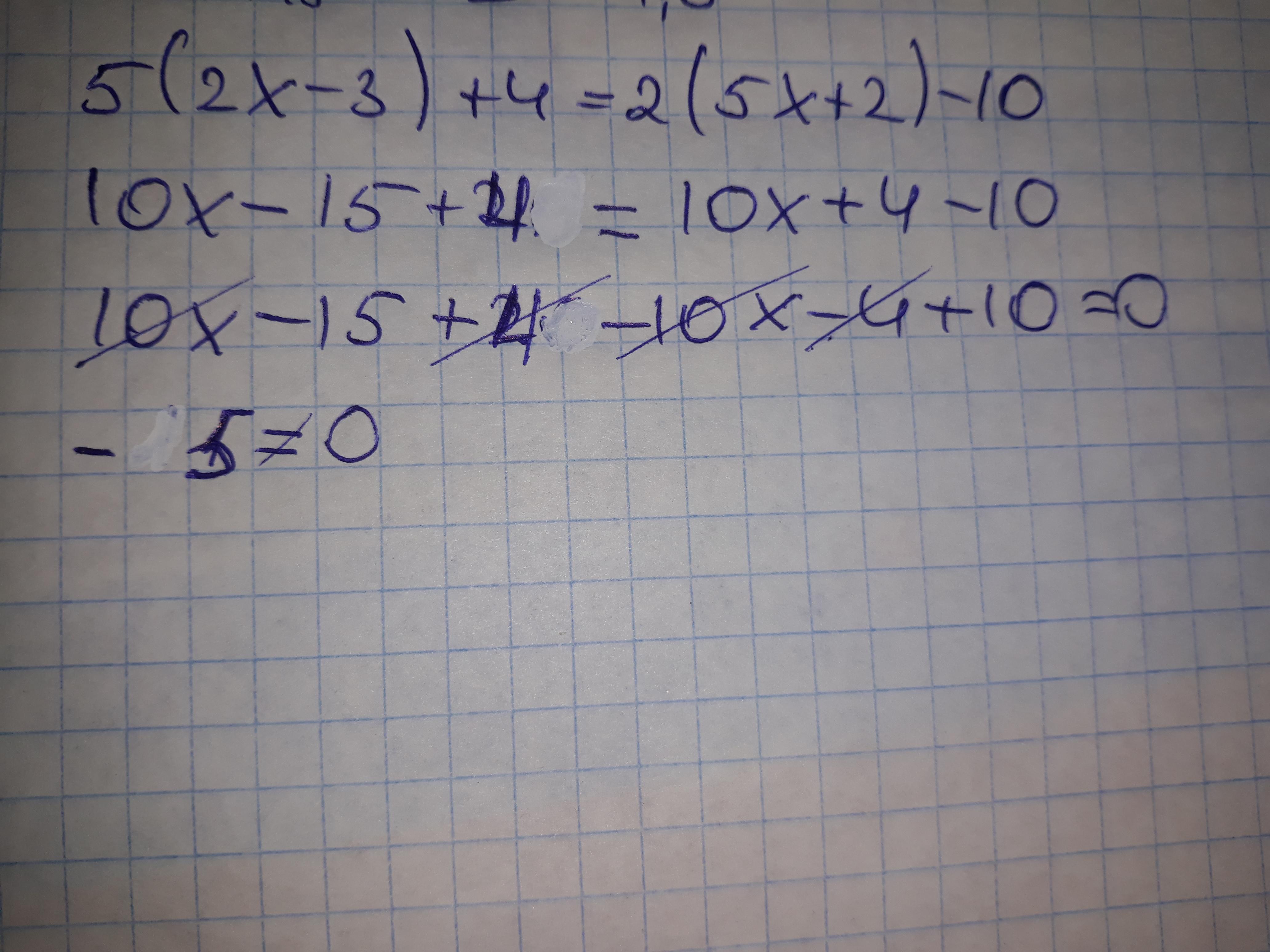
Знайдіть корінь рівняння 5(2х - 3) + 4 = 2(5х + 2) - 10
Ответы
Автор ответа:
4
Ответ:
нет корней
Пошаговое объяснение:
10х-15+4=10х+4-10
10х-10х=15+4-10
0х=9
0х-нет корней
Автор ответа:
1
Ответ: корней нет
Пошаговое объяснение:
Раскрыть скобки,перенести на другую сторону с противоположными знаками, свести подобные
Приложения:
Похожие вопросы
Предмет: Русский язык,
автор: kezz
Предмет: Русский язык,
автор: Катюша2781
Предмет: Другие предметы,
автор: twixa92
Предмет: Геометрия,
автор: irinasinizkaya2013