Предмет: Алгебра,
автор: Artmdavletshin05
помогите решить срочно
Приложения:
Ответы
Автор ответа:
1
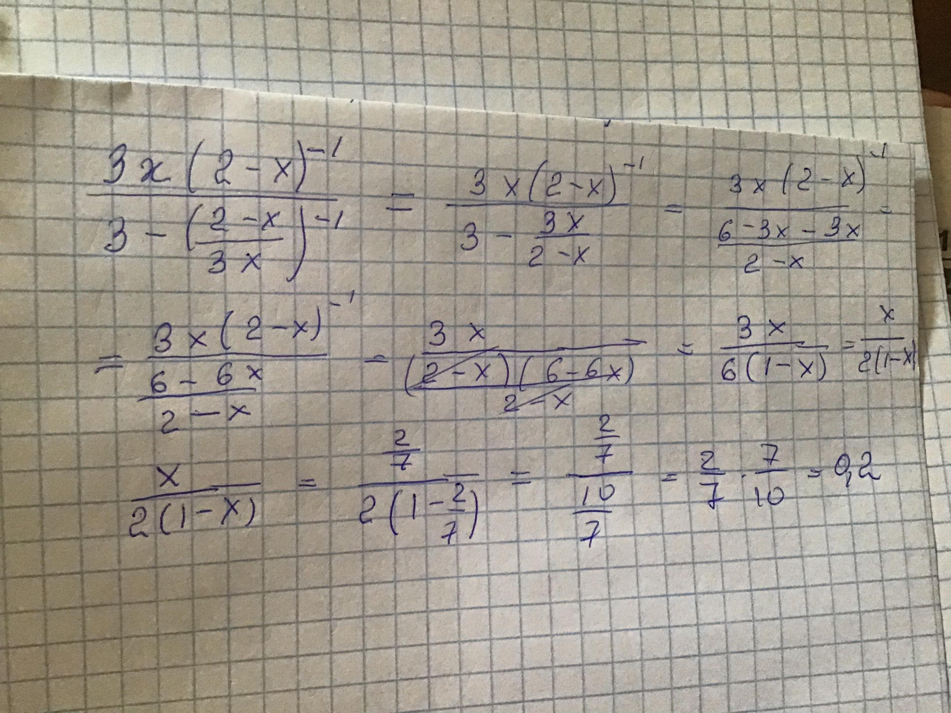
Ответ:решение на фото
Объяснение:
Приложения:
Похожие вопросы
Предмет: Русский язык,
автор: Аноним
Предмет: Русский язык,
автор: tigranezemnaya
Предмет: Русский язык,
автор: gfyrhfnjdf71
Предмет: Математика,
автор: АняКалоченова
Предмет: Математика,
автор: Ruslan4ik3