Предмет: Математика,
автор: katacerkasova50748
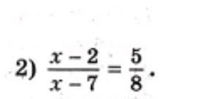
найти корень уравнения
Приложения:
Ответы
Автор ответа:
1
Ответ:
-6 целых 1/3
Пошаговое объяснение:
(x-7)x5=(x-2)x8
5x-35=8x-16
-3x=19
x=-19/3
x=-6 1/3
Похожие вопросы
Предмет: Қазақ тiлi,
автор: Милка1747
Предмет: Другие предметы,
автор: Maximка
Предмет: Другие предметы,
автор: tanya576
Предмет: Математика,
автор: ПолинаФил1