Предмет: Химия,
автор: nikenastja
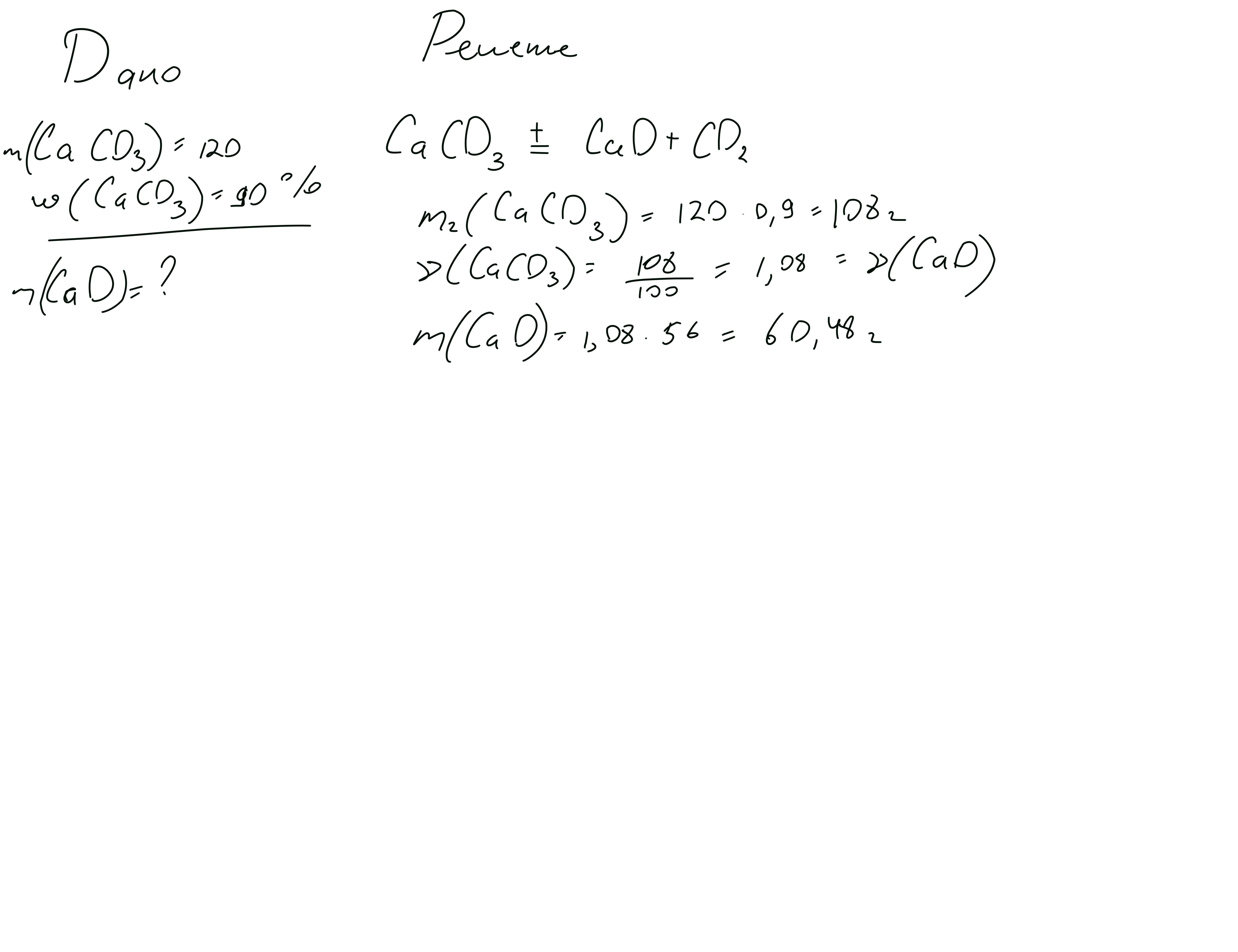
Рассчитайте какая масса оксида кальция выделится при разложении 120г. карбоната кальция, содержащего 10% примеси.
Помогите, пожалуйста :((((
Ответы
Автор ответа:
1
Тут все написано. Отметь как лучшее, пожалуйста
Приложения:
Похожие вопросы
Предмет: Английский язык,
автор: sofyazlobina1
Предмет: Русский язык,
автор: karlov00
Предмет: Английский язык,
автор: ОлЕчКа2012
Предмет: Алгебра,
автор: пиростанице2345
Предмет: Биология,
автор: zulyaguseinova5