Предмет: Алгебра,
автор: Аноним
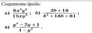
Я не буду разглагольствовать надо сократить три дроби
Приложения:
Ответы
Автор ответа:
1
Ответ:
так##################
Приложения:
Похожие вопросы
Предмет: Русский язык,
автор: агне
Предмет: Английский язык,
автор: Аноним
Предмет: Українська мова,
автор: Аноним
Предмет: Математика,
автор: Суля1
Предмет: Математика,
автор: саулеша19021983