Предмет: Алгебра,
автор: N3ly
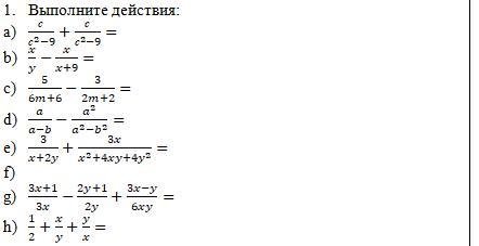
ПОМОГИТЕ СРОЧНО ДАЮ 50 БАЛЛОВ!!!!!!!!!!!!1!
Приложения:
Ответы
Автор ответа:
1
Объяснение:
ㅠㅠㅠㅠㅠㅠㅠㅠㅠㅠㅠㅠㅠㅠㅠㅠㅠㅠㅠㅌㅌㅌㅌ
Приложения:
Похожие вопросы
Предмет: Другие предметы,
автор: leskalove2010
Предмет: Русский язык,
автор: sashuilkastark
Предмет: Українська мова,
автор: CleverMarina
Предмет: Литература,
автор: Dimanchig772