Предмет: Алгебра,
автор: Аноним
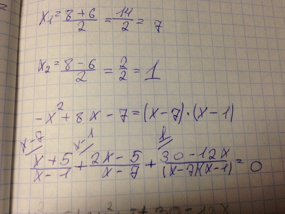
дробные рациональные уравнения ПОМОГИТЕ ПОЖАЛУЙСТА
Приложения:
Ответы
Автор ответа:
0
Я думаю так. Все таки перепроверьте еще раз, мало ли где ошибка.
Приложения:
Похожие вопросы
Предмет: Немецкий язык,
автор: Аноним
Предмет: История,
автор: danec20030412
Предмет: Биология,
автор: sargmeri2006
Предмет: Математика,
автор: anna212121
Предмет: Алгебра,
автор: Lolko123