Предмет: Алгебра,
автор: happyalcoholic
нужно найти ещё одну производную.
Приложения:
Ответы
Автор ответа:
1
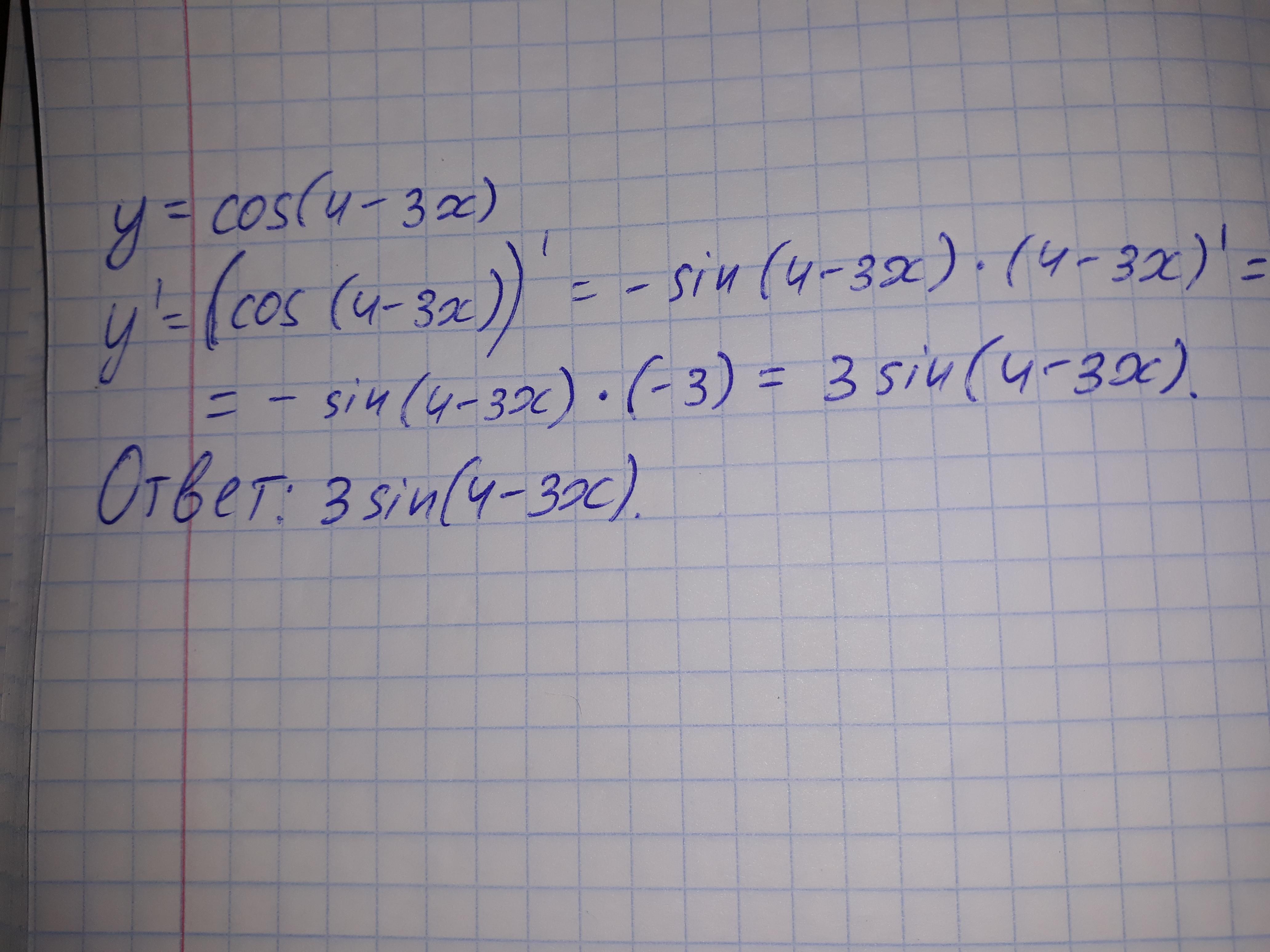
Ответ:
=========
Объяснение:
Приложения:
Похожие вопросы
Предмет: Русский язык,
автор: skomonatalya
Предмет: Английский язык,
автор: tanzor1
Предмет: Английский язык,
автор: 1234567543f123
Предмет: Математика,
автор: Наташа19861
Предмет: Биология,
автор: Kris1111111116