Предмет: Алгебра, автор: Romeo4598

Пожалуйста помогите, прошу! =(

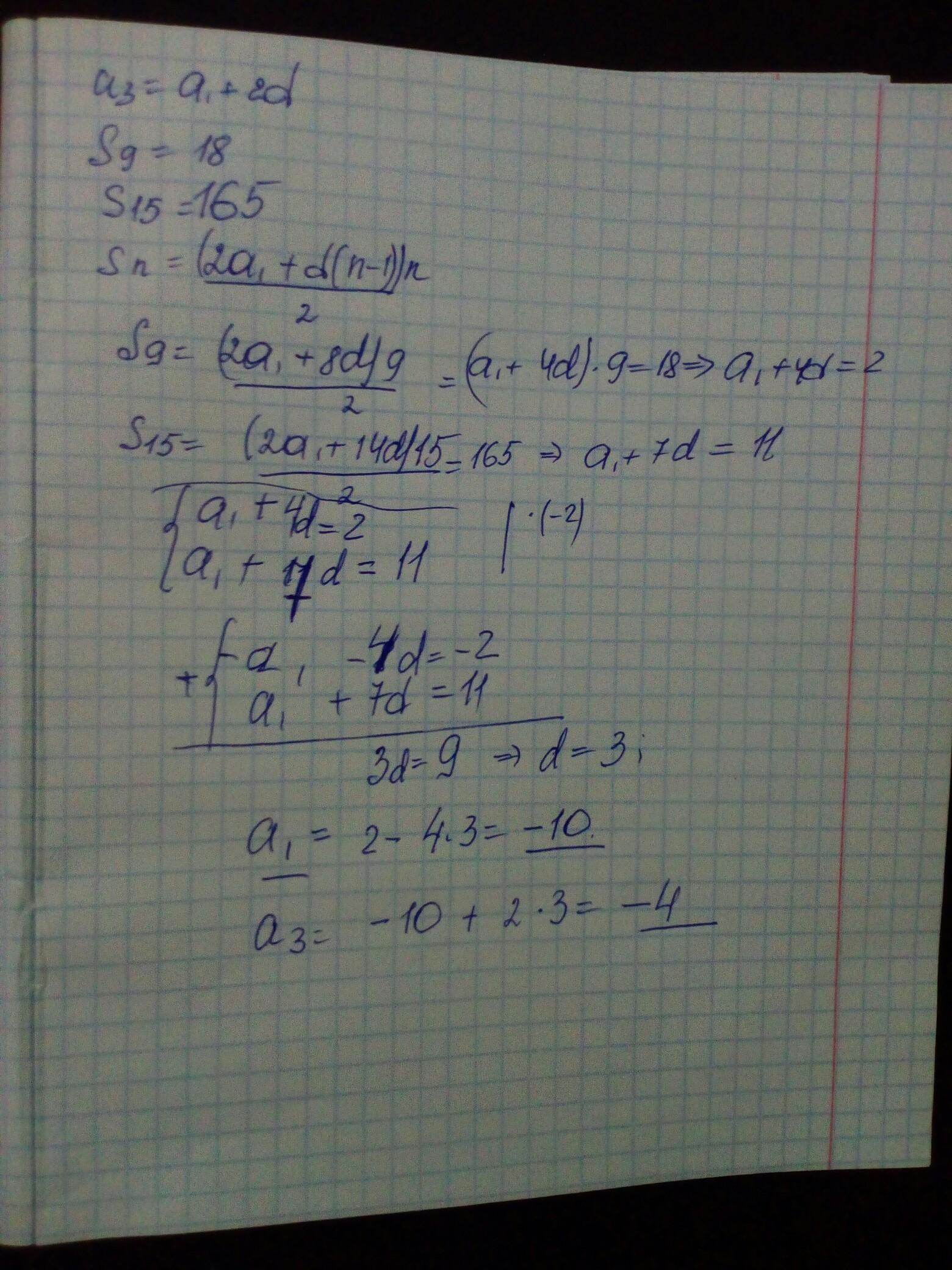
Знайдіть третій член арифметичної прогресії, якщо сума дев'яти перших її членів дорівнює 18, а сума п'ятнадцяти перших членів - 165. Срочно!! D:

Ответы

Автор ответа: NNNLLL54
1

S_9=18\; \; ,\; \; S_{15}=-165\; \; ,\; \; a_3=?\\\\\\S_9=\dfrac{2a_1+8d}{2}\cdot 9=18\; \; ,\; \; a_1+4d=2\\\\\\S_{15}=\dfrac{2a_1+14d}{2}\cdot 15=-165\; \; ,\; \; \; 15\cdot (2a_1+14d)=-165\cdot 2\; ,\\\\\\a_1+7d=-11\\\\\\\left\{\begin{array}{l}a_1+4d=2\\a_1+7d=-11\end{array}\right\; \; \left\{\begin{array}{l}a_1=2-4d\\2-4d=-11-7d\end{array}\right\; \; \left\{\begin{array}{l}a_1=2-4d\\3d=-13\end{array}\right\\\\\\\left\{\begin{array}{l}a_1=\frac{58}{3}\\d=-\frac{13}{3}\end{array}\right

a_3=a_1+2d=\dfrac{58}{3}-2\cdot \dfrac{13}{3}=\dfrac{32}{3}=10\dfrac{2}{3}


Romeo4598: Спасибо огромное! =)
quarckium: Здравствуйте можете решить мой вопрос "найти частные производные" или найти полный дифференциал.
Автор ответа: Аноним
1

Ответ:

...............................

Объяснение:

если в условии не минус 165, а тире, то ответ будет другой.

Приложения:

quarckium: Здравствуйте можете решить мой вопрос "найти частные производные" или найти полный дифференциал.
Похожие вопросы
Предмет: Математика, автор: диана1179
Предмет: География, автор: Серобабов