Предмет: Алгебра,
автор: Милашенькаа
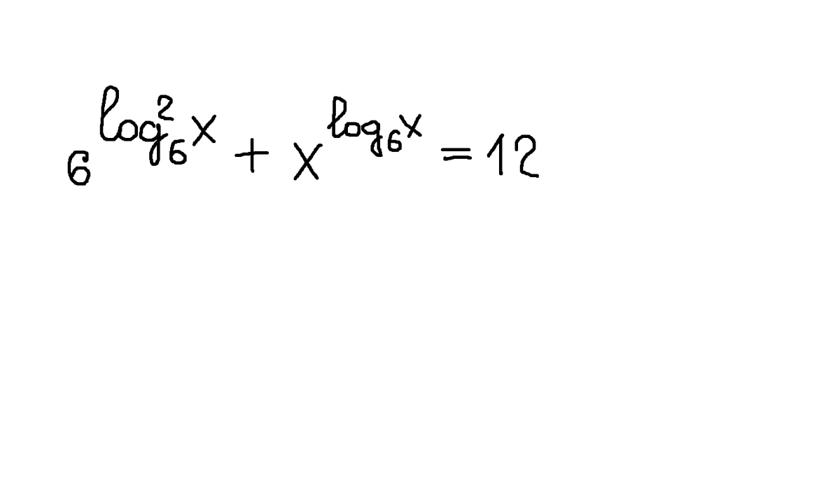
логарифмы,помогите решать пожулуйста
Приложения:
Ответы
Автор ответа:
0
ОДЗ: x>0
второе слагаемое по свойствам логарифма равен просто 6

Значит




второе слагаемое по свойствам логарифма равен просто 6
Значит
Похожие вопросы
Предмет: Алгебра,
автор: sveta6172
Предмет: Қазақ тiлi,
автор: Ulybek
Предмет: Русский язык,
автор: ktochto2020
Предмет: Математика,
автор: Аноним