Предмет: Алгебра,
автор: grrrom
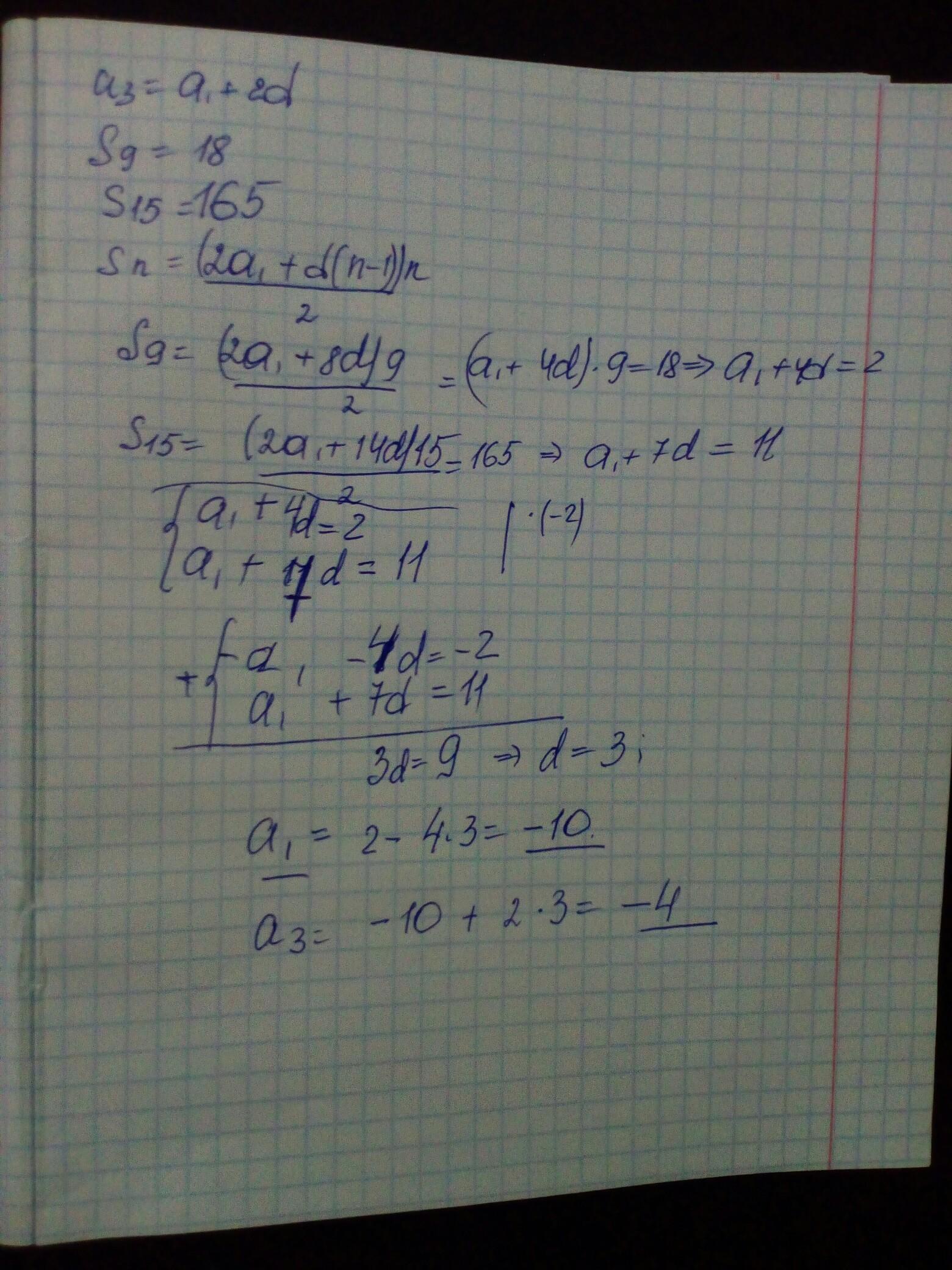
Знайдіть третій член арифметичної прогресії, якщо сума дев'яти перших її членів дорівнює 18, а сума п'ятнадцяти перших членів 165
Ответы
Автор ответа:
1
Ответ:
.............................
Объяснение:
Приложения:
Похожие вопросы
Предмет: Русский язык,
автор: svetlaja007
Предмет: Русский язык,
автор: Аноним
Предмет: Русский язык,
автор: daf1
Предмет: Литература,
автор: хорошист365