Предмет: Геометрия,
автор: Renzas
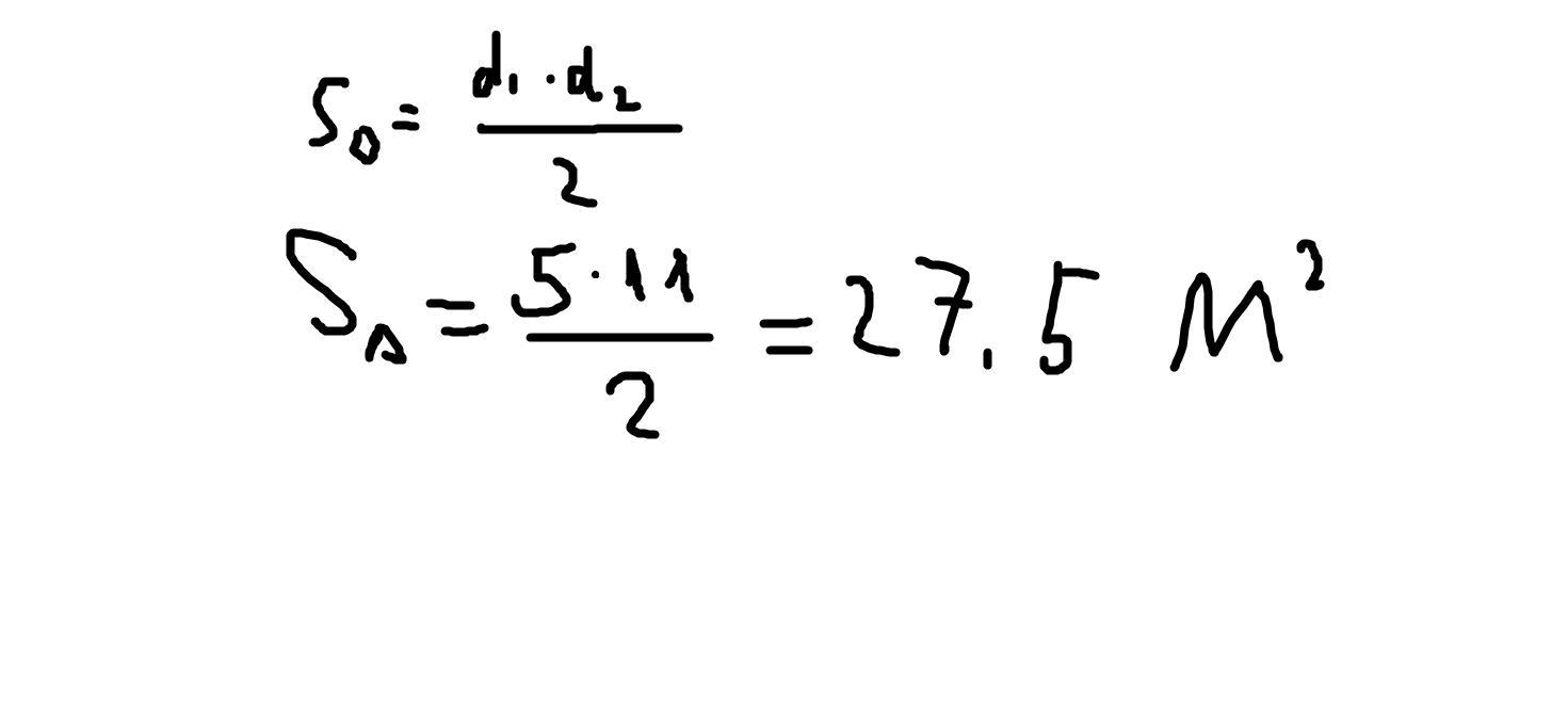
Обчисли площу ромба, якщо одна його діагональ дорівнює 11 м, а друга діагональ дорівнює 5 м.
Ответы
Автор ответа:
13
фыввыфыф22,5 м2
Овыфвбъыяснение:
ыфвыфS= (dыф1вывыф*d2)/2
S=ыфыфввы11*5)/вв22,выфвввывывывф
Приложения:
Renzas:
як це рішайется повну задачу напиши ну або сфотографуй
пж побистрей
Похожие вопросы
Предмет: Русский язык,
автор: tv2708
Предмет: Русский язык,
автор: Kate74
Предмет: Русский язык,
автор: feisal1000
Предмет: Математика,
автор: dysiee
Предмет: Математика,
автор: margo080688