Предмет: Алгебра,
автор: beloved1loser
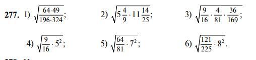
ПОМОГИТЕ РЕШИТЬ ПРИМЕРЫ, ДАЮ 10 БАЛЛОВ
Приложения:
Ответы
Автор ответа:
0
Объяснение:
баллов мало поэтому так мало Сделал
Приложения:
Похожие вопросы
Предмет: Русский язык,
автор: mashaRjcytnj
Предмет: Английский язык,
автор: alenatitkova
Предмет: Русский язык,
автор: anastasiyanosova
Предмет: Математика,
автор: Макс545втоп