Предмет: Математика,
автор: hasanovarenata660
(m-32,6)*2,4 ровно 1,8
Ответы
Автор ответа:
2
Ответ:
(m-32,6)*2,4=1,8
m-32,6=1,8:2,4
m-32,6=0,75
m=0,75+32,6
m=33,35
Пошаговое объяснение:
Ответ:33,35
Автор ответа:
0
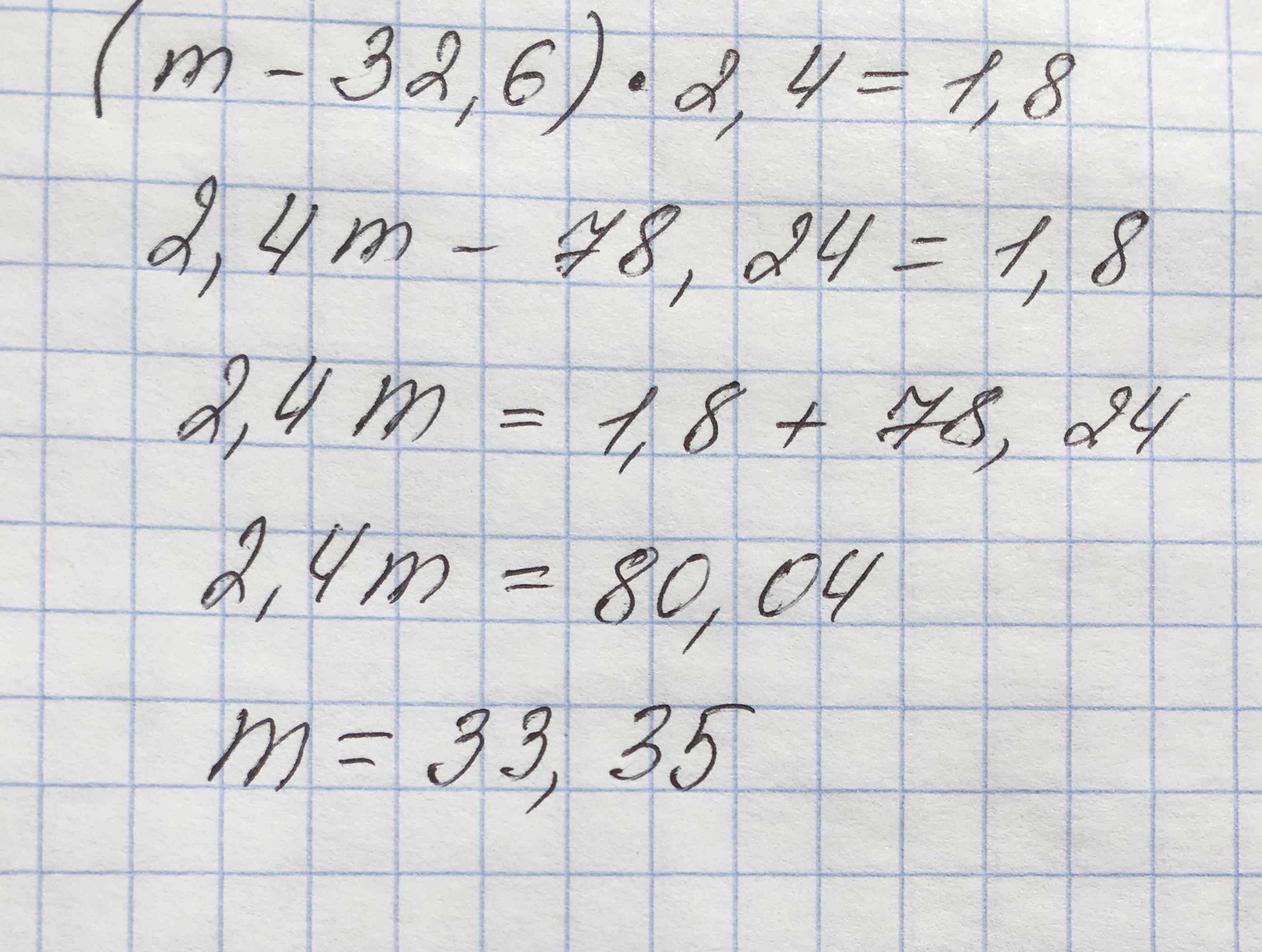
m = 33,35
думаю правильно, удачи!
Приложения:
Похожие вопросы
Предмет: Українська мова,
автор: tatianagon4aruk
Предмет: Русский язык,
автор: avon1978
Предмет: Русский язык,
автор: asdf1978
Предмет: Математика,
автор: Жузика1110
Предмет: Математика,
автор: jokdasha90