Предмет: Алгебра,
автор: mfsjgfj
АЛГЕБРА 8 КЛАСС (4 ЗАДАНИЯ)
СРОЧНО!!!!!!!!!!!!!!!!!!!!!!!!!!!!!!!!!!!!!!!!!!!!!!!!!!!!!!!!!!!!!!!!!!!!!!!
Приложения:
Ответы
Автор ответа:
0
Объяснение:
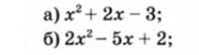
1 картина
1)(х-2)(х-3)
2)х(х-7)
3)плюс-минус под корнем 6
4)1/3(х²+18)
2 картина
1)(х+3)(х-1)
2)(2х-1)(х-2)
Автор ответа:
0
Ответ:
1) х умножить на (х-2)-3(х-2)
ответ (х-2) умножить на (х-3)
2) ответ х умножить на (х-7)
3) хз
4) 1\3 умножить на (х во 2 степени + 18)
Объяснение:
Похожие вопросы
Предмет: Английский язык,
автор: Аноним
Предмет: Английский язык,
автор: MAJORKAQWERTY
Предмет: Русский язык,
автор: lizaliza6
Предмет: Обществознание,
автор: mrferdiy1gamer
Предмет: Математика,
автор: sluckina87