Предмет: Математика,
автор: mas4kaaaa
Пожалуйста помогите , очень надо срочно
Приложения:
Ответы
Автор ответа:
1
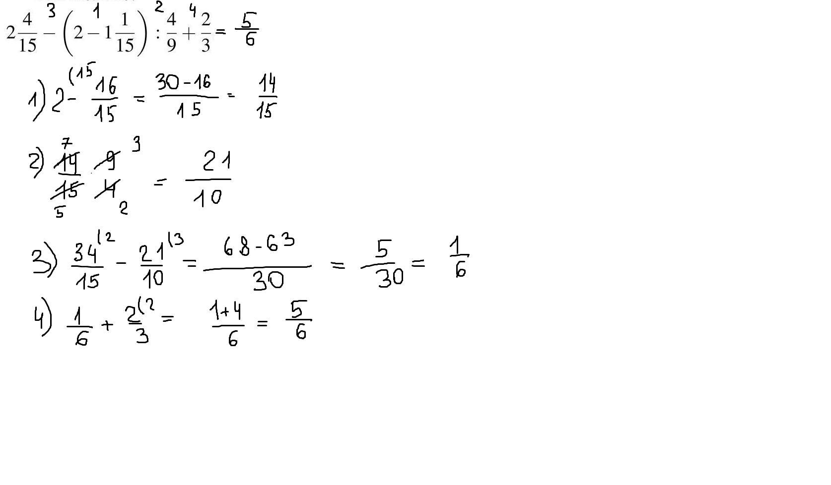
Ответ:
Привет)
Решение во вложении, будут вопросы, задавай)
Если не сложно, отметь пожалуйста как лучший ответ))
Приложения:
Похожие вопросы
Предмет: Українська мова,
автор: назіро
Предмет: Английский язык,
автор: Аноним
Предмет: Другие предметы,
автор: aliaalia98
Предмет: Математика,
автор: lolitapetrosy
Предмет: История,
автор: юлечка63