Предмет: Математика,
автор: bogdacnkovalenko
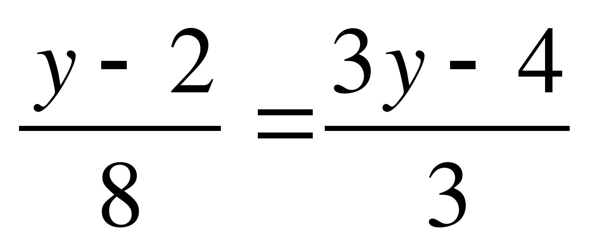
срочно пжжжжжжжжжжжжжжжжжжжжжжжжж
Приложения:
Ответы
Автор ответа:
1
Вот уравнение там если что не скобка а 8
Приложения:
Автор ответа:
1
Ответ:
...........................
Приложения:
Похожие вопросы
Предмет: Английский язык,
автор: zagadka404
Предмет: Другие предметы,
автор: NutellaA
Предмет: Английский язык,
автор: 007NS
Предмет: Алгебра,
автор: АБВГДЖЗИЙКЛМН
Предмет: История,
автор: Аноним