Предмет: Математика,
автор: bogdacnkovalenko
срочно,помогите,пожалуйста.
Приложения:
Ответы
Автор ответа:
1
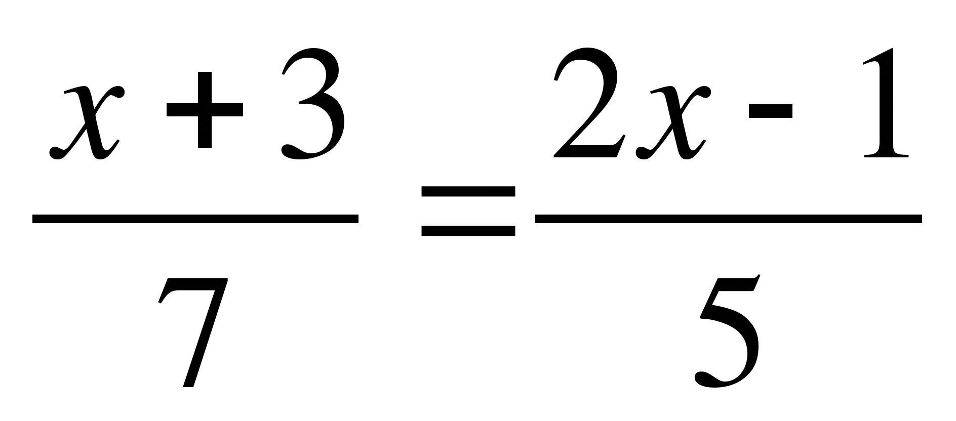
перекрестно умножаем
5(х+3)=7(2х-1)
5х+15=14х-7
5х-14х=(-7)-15
-9х=-22
bogdacnkovalenko:
спасибо
Автор ответа:
0
5(х+3)=7(2х-1)
5х+15=14х-7
5х-14х=-7-15
-9х=-22
Х=22/9
5х+15=14х-7
5х-14х=-7-15
-9х=-22
Х=22/9
Похожие вопросы
Предмет: Английский язык,
автор: Nik313
Предмет: Русский язык,
автор: dashamanca
Предмет: Английский язык,
автор: nastenslasten92
Предмет: Математика,
автор: zav4
Предмет: История,
автор: Лезетто