Предмет: Алгебра,
автор: Аноним
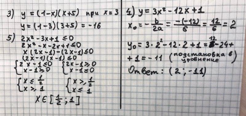
Помогите решить хотя бы 2 задачи. Дам 50 баллов
Приложения:
Ответы
Автор ответа:
1
Відповідь:
Пояснення:
Приложения:
Похожие вопросы
Предмет: Другие предметы,
автор: GreyRainbow
Предмет: Английский язык,
автор: westjade
Предмет: Русский язык,
автор: Alika55535
Предмет: Математика,
автор: comamarina
Предмет: Биология,
автор: Вика161616