Предмет: Алгебра, автор: rusterbest

помогите решить алгебру, не нужно расписывать решение, просто ответы, дам 50 баллов, заранее спасибо

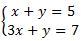
Приложения:

Ответы

Автор ответа: m11m
1

Ответ:

Объяснение:

!!!!!!!!!!!!!!!

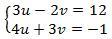
Приложения:
Похожие вопросы
Предмет: Английский язык, автор: Аноним
1. Перепишите следующий текст в про­шедшем
времени Past Simple (что рассказала мама).


On
Tuesday I get up at half past six. I go to the bathroom and wash my hands and
face and clean  my teeth. Then I dress,
go to the kitchen and cook breakfast for my family. At half past seven my son
gets up and has breakfast. I have breakfast with my son. My son eats a sandwich
and drinks a  cup of tea. I don't drink
tea. I drink coffee. After Breakfast my son leaves home for school. I don't
leave home with my son. On Tuesday I don't work 
in the morning. I work in the afternoon. In the  evening I am at home. My husband and my son
are  at home, too. We rest in the
evening. My son watch­es TV, my husband reads newspapers and I do some wrork
about the house. At about eleven o'clock we I go to bed.



Упр. 2. Раскройте скобки, употребляя глаго­лы в Present Simple, Present Continuous или Future Simple.

 

1. It (to
be) cold in autumn. It often (to rain). A cold wind often (to blow). 2. The
weather (to be) fine today. It (to be) warm, the sun (to shine) brightly. A
soft wind (to blow). Small white clouds (to sail) in the sky. 3. Don't
go out: it (to rain) heavily. 4. Take your raincoat
with you. I am afraid it (to rain) in the evening and you (to get) wet through
if you (not to put) on your raincoat. 5. Every spring birds
(to come) to our garden and (tosing) in the trees. 6. Listen!
Somebody (to sing) in the next room. 7. It usually (not to
snow) at this time of the year. 8. What the weather
(to be) like now? It (to snow)? -- No, it .... 9.
We (to go) out of town to ski on Sunday? - - Yes, we
... if it (to snow) this week and if there (to be) a lot
of snow everywhere. 10. What you (to do) tomorrow? - We (to go)
out of town if the weather (not to change) for the worse. You (to come) with
us? - - With pleasure if only I (not to have) too much work to do at home.