Предмет: Алгебра,
автор: Eclipse125
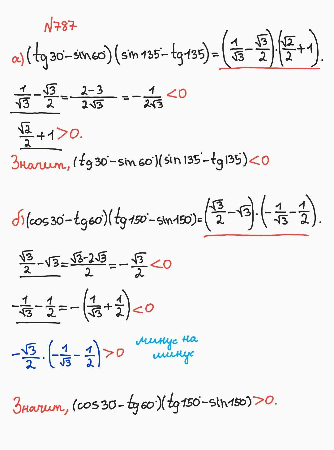
помогите пожалуйста с алгеброй!!!!!! Очень надо!!!!! Срочно!!!! Номер 787
Приложения:
Ответы
Автор ответа:
5
Не обязательно считать значение полностью всего выражения, чтобы сравнить его с нулём. Достаточно определить знак каждого из множителей...
Приложения:
Похожие вопросы
Предмет: Английский язык,
автор: АлинАлин
Предмет: Английский язык,
автор: killerramis96
Предмет: Русский язык,
автор: sonic2003
Предмет: Алгебра,
автор: marishadi
Предмет: Алгебра,
автор: AngryParrot