Предмет: Математика,
автор: kamilkhayrutdinov06
Помогите решить уравнение
Приложения:
Ответы
Автор ответа:
1
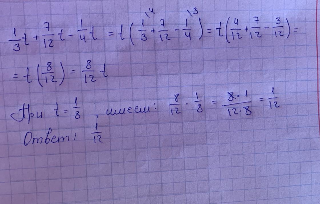
Ответ:
9/96
Пошаговое объяснение:
Автор ответа:
1
Ответ: 1/12
Пожалуйста
Пожалуйста
Приложения:
Похожие вопросы
Предмет: Русский язык,
автор: 5038092286
Предмет: Русский язык,
автор: никитамакеев26092003
Предмет: Русский язык,
автор: jhvbygibiuh
Предмет: Математика,
автор: And1rew
Предмет: Литература,
автор: Antoe