Предмет: Алгебра,
автор: aun1991
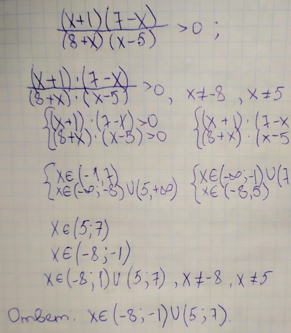
(x+1)(7-x)/(8+x)(x-5 >0
решите неравенство
Ответы
Автор ответа:
0
Фотографии пришлось расположить вот так(
Приложения:
Похожие вопросы
Предмет: Русский язык,
автор: vanber2001
Предмет: Русский язык,
автор: ARINA21092000
Предмет: Английский язык,
автор: rfre
Предмет: Биология,
автор: shahzotik