Предмет: Математика,
автор: lakesy
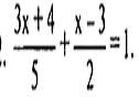
ДАЮ 35 баллов за решение этого уравнения.
Приложения:
Ответы
Автор ответа:
1
Ответ:
тип надо 20 символов поэтому написал этот текст
Приложения:
lakesy:
спасибо
заебэк
мне не надо больше ответов чел
не списывай
Psl...
я тебе не дам баллов
Похожие вопросы
Предмет: Русский язык,
автор: Lenalenok
Предмет: Русский язык,
автор: Коотопёс
Предмет: Русский язык,
автор: АнгелДан
Предмет: Алгебра,
автор: ОляХ1
Предмет: Литература,
автор: Anime07love