Предмет: Математика,
автор: andrejsurdul523
)Реши уравнения:
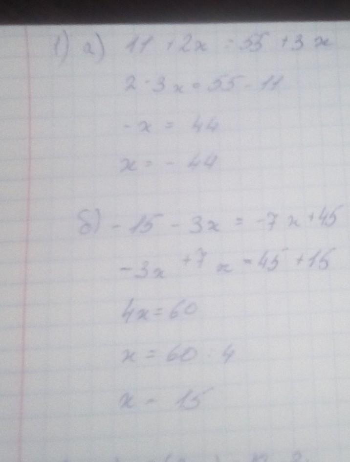
1) а) 11 + 2х = 55 + 3х;
б) –15 – 3х = –7х + 45;
в) –3х – 17 = 8х – 105.
2) а) 2(2 + y) = 19 – 3y;
б) (4 – c) + 2(c – 3) = –13;
в) –3(3b + 1) – 12 = 12.
ПОЖАЛУЙСТА!!!! СРОЧНО!!!!
tur4n:
всё сделал вроде правильно но в двух ошибаюсь а так всё норм вроде
Ответы
Автор ответа:
1
Ответ:
Пошаговое объяснение:
1)
a) 11+2x=55+3x
2x-3x=55-11
-x=44
x=-44
Ответ : x = -44
б) -15-3x=-7x+45
-3x+7x=45+15
4x=60
x=60:4
x= 15
Ответ : x=15
в) -3x-17=8x-105
-3x-8x=-105+17
-11x=-88
x= -88:(-11)
x= 8
Ответ : x=8
2)
a) 2(2+y)=19-3y
4+2y=19-3y
2y+3y=19-4
5y=15
y=15:5
y=3
Ответ : y=3
б) (4-c)+2(c-3)=-13
4-c+2c-6=-13
-c+2c=-13-4+6
c=-11
Ответ : c=-11
в) -3(3b+1)-12=12
-9b-3-12=12
-9b=12+3+12
-9b=27
b=27:(-9)
b=3
Автор ответа:
3
Ответ:
1 а)44;-44
б)15
в)8
2 а)3
б)-11
в)-3
Пошаговое объяснение:
объяснение на фото
Приложения:
Похожие вопросы
Предмет: Українська мова,
автор: oleksandra2013
Предмет: Другие предметы,
автор: фівап
Предмет: Русский язык,
автор: risalatkozhoka
Предмет: Литература,
автор: dobrevnastya