Предмет: Математика,
автор: korzh5454
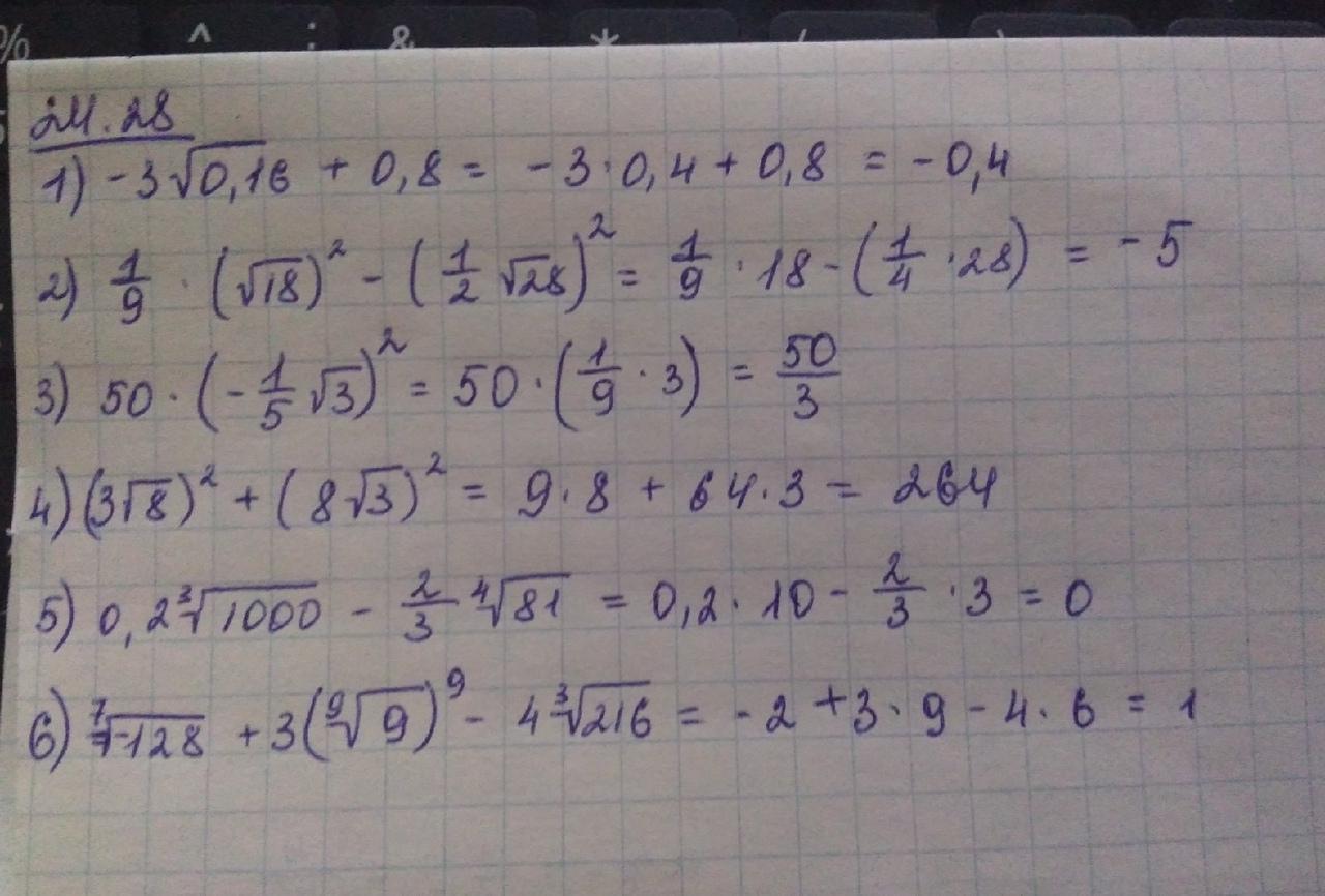
Помогите сделать номер 24.88
Приложения:
Ответы
Автор ответа:
0
Надеюсь все будет понятно!)
Приложения:
Похожие вопросы
Предмет: Українська мова,
автор: кэтинуар
Предмет: Английский язык,
автор: марксения
Предмет: Русский язык,
автор: ВаленокRT
Предмет: Математика,
автор: aytac200505
Предмет: Алгебра,
автор: annitta5959