Предмет: Математика,
автор: valeriarodionova210
помогите пж
срочно нужно
Приложения:
Ответы
Автор ответа:
0
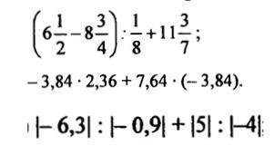
Ответ:
1.) -2 целых 4/7
2.)-38,4
3.)8,25
Похожие вопросы
Предмет: Русский язык,
автор: Аноним
Предмет: Английский язык,
автор: shnura
Предмет: Русский язык,
автор: IlyaKvashin
Предмет: Математика,
автор: DONSIK228
Предмет: Химия,
автор: Rostis1av