Предмет: Алгебра,
автор: valentinasmolar17
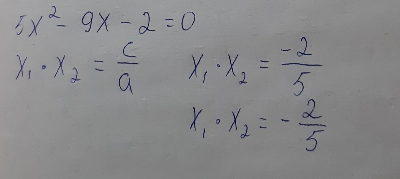
Не розв’язуючи квадратного рівняння 5х2 – 9х – 2 = 0, знайти добуток коренів
Ответы
Автор ответа:
4
Ми знаходимо добуток коренів за допомогою теореми Вієта.
Приложения:
Похожие вопросы
Предмет: Русский язык,
автор: vados238
Предмет: Русский язык,
автор: vika142001
Предмет: Українська література,
автор: BlackCraft
Предмет: Алгебра,
автор: pishikak08
Предмет: Математика,
автор: charleman