Предмет: Алгебра, автор: Аноним

Срочноо алгебра
Есть 15 минут
Даю 100 балов

Приложения:

Ответы

Автор ответа: mapleTZ
1

Ответ:

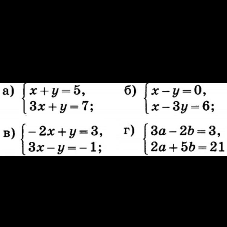
a)

1) y = 5 - х

2) 3x + 5 - х = 7

2х + 5 = 7

2х = 2

х = 1

у = 4

б)

1) х = у

2) х - 3х = 6

-2х = 6

2х = -6

х = -3

у = - 3

в) 1) - 2х + у = 3

2) у = 3х + 1    

1) - 2х + у = 3

- 2х + 3х + 1 = 3

х + 1 = 3

х = 2

у = 7

г)  1) 2б = 3а - 3

2) 2а + 7,5а - 7,5 = 21

9,5а = 28,5

а = 3

б = 3

Объяснение:

Автор ответа: ForeignAgent
1

Ответ:

а) y=5-x

3x+5-x=7

2x=2

x=1

1+y=5

y=4

б)

х=0+у

х=у

х-3х=6

-2х=6

х=-3=у

в)

у=3+2х

3х-3+2х=-1

5х=2

х=0.4

у=3+2*0.4=3.8

г)

3а=3+2b

a =  \frac{3 + 2b}{3}

2 \times  \frac{3 + 2b}{3}  + 5b = 21

 \frac{19b}{3}  = 19

b =  3

3a-2*3=3

3a=9

a=3

Похожие вопросы
Предмет: Математика, автор: олеся674