Предмет: Алгебра, автор: Bazykin

Алгебра 10 класс производные помогите пожалуйста

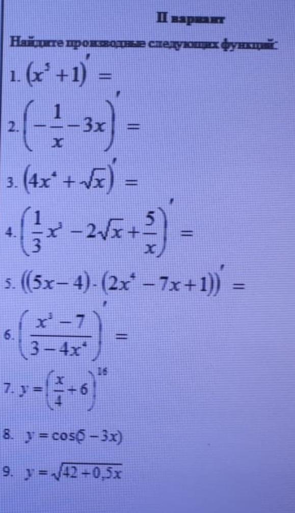
Приложения:

Ответы

Автор ответа: HornedOwl
1

1) 5х^4

2)1/x^2 - 3

3)16x^3 = 1/(2sqrt(x))           sqrt(x) - эт корень из x

4)x^2 - 1/sqrt(x) - 5/x^2

5)(5x-4)'(2x^4 - 7x + 1) + (5x-4)(2x^4 - 7x + 1)' =

    = 5(2x^4 - 7x + 1) + (5x-4)(8x^3 - 7)=

    = 10x^4 - 35x +5 +40x^4 - 35x - 32x^3 + 28

    = 50x^4 - 32x^3 - 70x + 28

6)((x^3-7)'(3-4x^4) - (x^3 -7)(3-4x^4)')/(3-4x^4)^2 =

  = (3x^2*(3-4x^4) + 16x^3*(x^3 - 7))/(3-4x^4)^2 =

  = (9x^2 - 12x^6 + 16x^6 - 112x^3)/(4x^4-3)^2 =

  = (4x^6 - 112x^3 +9x^2)/(16x^8 - 12x^4 - 9)

7)16 * 1/4 * (x/4 +6)^16 = 4(x/4 +6)^16

8)3sin(5-3x)

9)0.5 * 1/(2sqrt(42+0,5x)) = 1/(4sqrt(42+0,5x))

Похожие вопросы
Предмет: Русский язык, автор: Олька0910
составить простой план текста:


 Солнце все выше и выше поднималось над заливом, стирая тени. (2) Егерь рассказывал.
Белоснежный лебедь упал в камыши, еще не понимая, что с ним произошло, пытался взлететь в синее небо.Его правое крыло безжизненно повисло.Браконьер лишил птицу самого дорогого – полета.Лебедь неподвижно лежал в камышах.Его подруга, белая лебедушка, волновалась.Птица издавала тревожный, гортанный крик.
Стая уже снялась с полуостровка и полетела дальше, на север.Отстать не хотелось, но ведь и друга не бросишь в беде.И тогда она, приблизившись, стала заботливо обирать его перышки. 

Я приплыл в залив рано утром.Лебедушка взлетела и стала тревожно кружиться.Решил обследовать камыши.Тут и нашел подбитую птицу.
Оставил лебедя в безопасном месте, привез лекарство и перевязал раненое крыло.На другой день я снова появился на маленьком островке.Обошел его, убедился – хищников нет.«Как же вас назвать? – подумал. – Лебедь будет отныне Лотос, а лебедушка – Лилия». 
Весь месяц плавал к лебединому острову.Лотос повеселел и гортанным криком приветствовал меня.Однажды, придя к шалашу, увидел: в устроенном гнезде лежало яйцо.Лебедь подплыл к моей лодке и взял из рук пищу.
Я знал, что Лотосу никогда не придется летать, – крыло было перебито.
Пришла осень.Вместе с Лотосом и Лилией плавали еще два молодых лебедя. А в это время начался отлет птиц.В небе всю ночь слышались прощальные голоса.Лилия тревожно прислушивалась к ним. 
 На моих глазах дети Лотоса и Лилии взлетели, присоединились к стае и полетели в далекие края.Лебедушка волновалась, но вскоре подплыла к Лотосу и стала прихорашивать его перья.Весь вид ее говорил: «Пускай улетают наши дети зимовать в теплые края, а нам и здесь неплохо».
 А вскоре до меня донеслась лебединая песня.Ее пел красавец Лотос.Нет, это была не прощальная песня – гимн жизни! 
Предмет: Химия, автор: шолжогфоо