Предмет: Математика,
автор: eduardkirilash
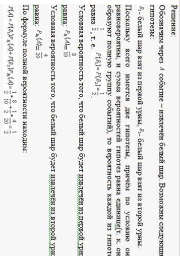
6. В первой урне содержится 10 шаров, из них 8 белых; во второй урне 8 шаров, из них 4 белых. Из первой урны наудачу извлекли два шара и переложили во вторую урну. Затем из нее, перемешав, извлекли один шар и вернули его в первую урну. После этого из первой урны извлекли шар. Найти вероятность того, что извлеченный шар белый.
Ответы
Автор ответа:
0
Ответ:
1/2
Я прикрепил фото теперь должно быть норм.
Приложения:
eduardkirilash:
Это вообще не то
я прикрепил фото
не то?
нет, перечитай условия
Похожие вопросы
Предмет: Русский язык,
автор: gulnazisyanova
Предмет: Английский язык,
автор: elya11224
Предмет: Русский язык,
автор: 120280
Предмет: Математика,
автор: Nikol78Q