Предмет: Алгебра,
автор: Andreypedrodva
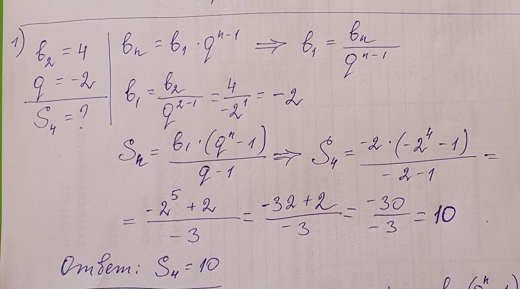
Найдите сумму первых 4 членов геометрической прогрессии, если 1) b2=4, q=-2;
2)b1=Корень3, b5=9корней3, q>0. 3)b3=36 ,b6=1/6
Ответы
Автор ответа:
0
Ответ:
1) 10
2)
3) 1548
Объяснение:
решение смотри на фото
Приложения:
Похожие вопросы
Предмет: Русский язык,
автор: svtorion
Предмет: Английский язык,
автор: VAMPIR12rd
Предмет: Русский язык,
автор: bosstimganov
Предмет: Математика,
автор: lenkapersi
Предмет: Математика,
автор: Аноним