Предмет: Математика,
автор: dankototik
Вот ещё вопрос потом будет еще
Приложения:
Ответы
Автор ответа:
0
Ответ:
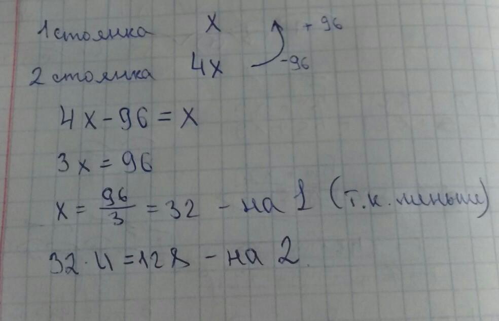
Решение на фотографии.
Вроде бы так. Если на первой x, тогда на второй 4x. Со второй убрали 96, значит стало 4x-96. После этого их стало поровну, отсюда уравнение:
4x-96=x
Приложения:
Похожие вопросы
Предмет: Русский язык,
автор: onlyshark
Предмет: Русский язык,
автор: adarymary
Предмет: Русский язык,
автор: katyushkapm
Предмет: Литература,
автор: романмакедонов
Предмет: Математика,
автор: amanova043