Предмет: Математика,
автор: marinam4matova
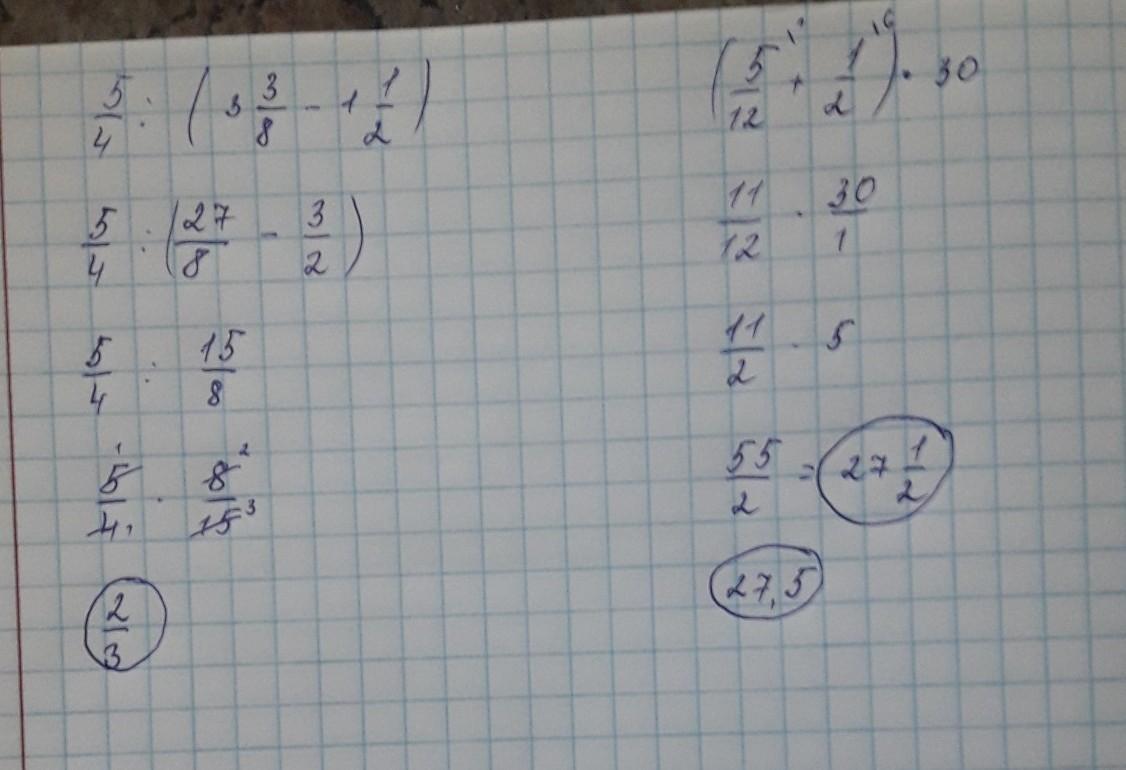
Помогите решить примеры.5/4:(3 3/8- 1 1/2); (5/15+1/2)×30
Ответы
Автор ответа:
0
Ответ:
вот как-то так...........
Приложения:
markkasyanov0324:
сделай пожалуйста мой ответ лучшим
Похожие вопросы
Предмет: Русский язык,
автор: ilnarr
Предмет: Английский язык,
автор: savenkolera
Предмет: Русский язык,
автор: Solnechko
Предмет: Химия,
автор: karinitt
Предмет: Математика,
автор: Limsis