Предмет: Математика,
автор: nikalpatov92
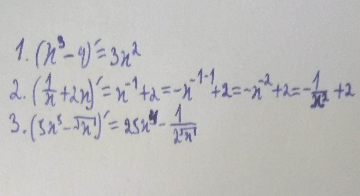
Найдите производные следующих функций:
Приложения:
Ответы
Автор ответа:
0
Ответ:
см.фото⬆️⬆️⬆️⬆️⬆️⬆️⬆️⬆️
Пошаговое объяснение:
Приложения:
Похожие вопросы
Предмет: Другие предметы,
автор: alina198686
Предмет: Русский язык,
автор: Умняшкоо
Предмет: Английский язык,
автор: markownk
Предмет: Алгебра,
автор: Nastya1604032017
Предмет: Алгебра,
автор: Roman12341