Предмет: Математика,
автор: potapovadim67
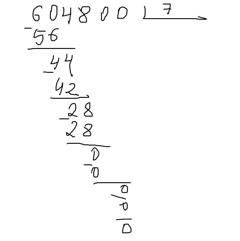
604800:7 в столбик пожалуста помогите ришить
Ответы
Автор ответа:
1
Ответ:
Во вложении
Пошаговое объяснение:
Приложения:
Похожие вопросы
Предмет: Українська література,
автор: perki
Предмет: Русский язык,
автор: DONUT8
Предмет: Русский язык,
автор: POLITIKOV2006
Предмет: Информатика,
автор: Dexter204356
Предмет: Физика,
автор: Kate1234565432