Предмет: Алгебра,
автор: sidhhsiaudhdhhywuw
Помогите прошу!Метод сложения
Приложения:
Ответы
Автор ответа:
1
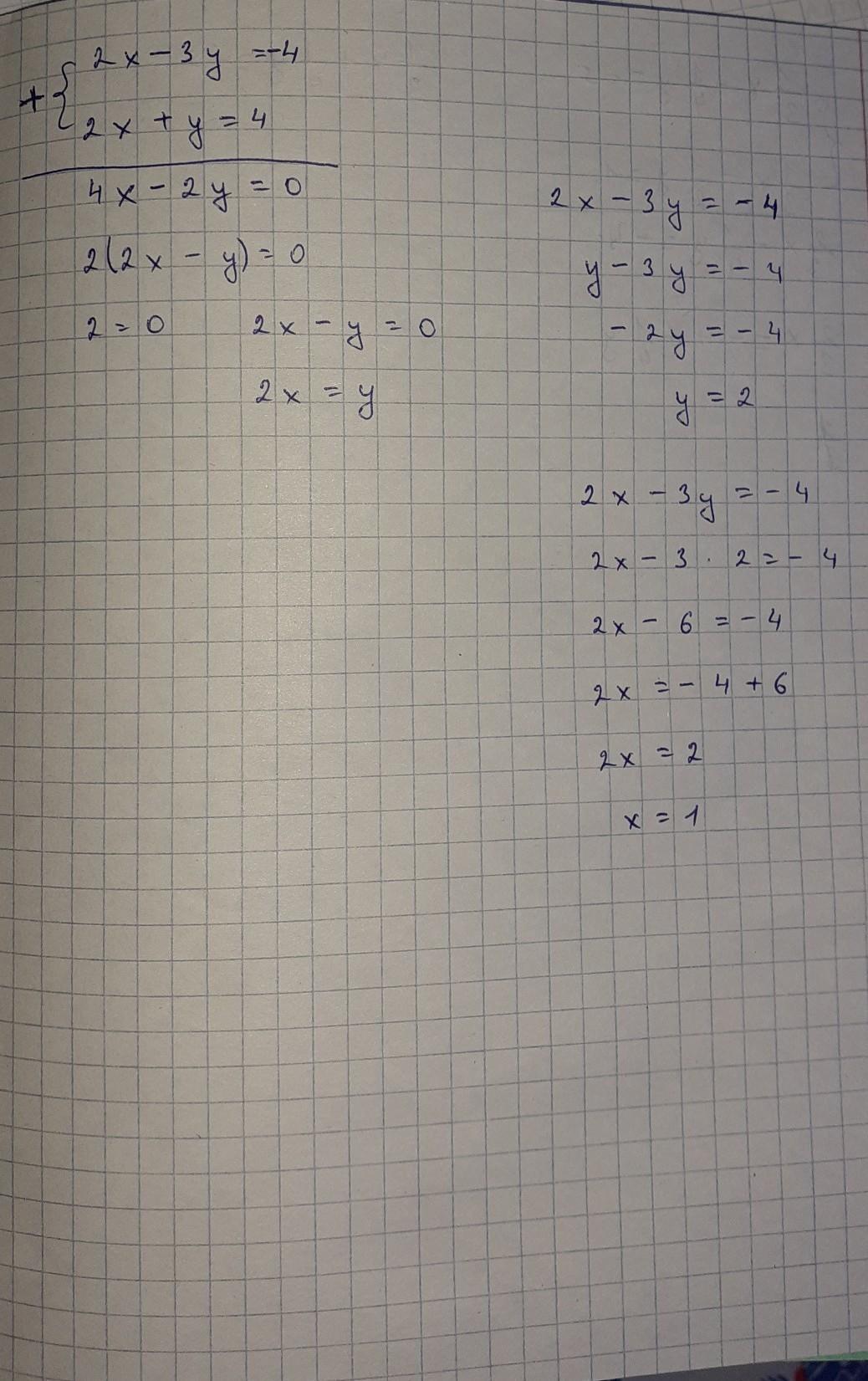
Ответ:
Вот ответ на твой вопрос
Приложения:
sidhhsiaudhdhhywuw:
Спасибо
Автор ответа:
1
Ответ:
х=1
у=2
Объяснение:
вроде так
.................
Приложения:
Все равно спасибо...)
обращайся если что)
обращайся если что)
Похожие вопросы
Предмет: Английский язык,
автор: Loriot11
Предмет: Английский язык,
автор: 6152308
Предмет: Русский язык,
автор: Аноним
Предмет: География,
автор: Dariye