Предмет: Математика,
автор: Аноним
помагите пожалуйста даю 12 баллов
Приложения:
Ответы
Автор ответа:
0
Ответ:
Пошаговое объяснение:
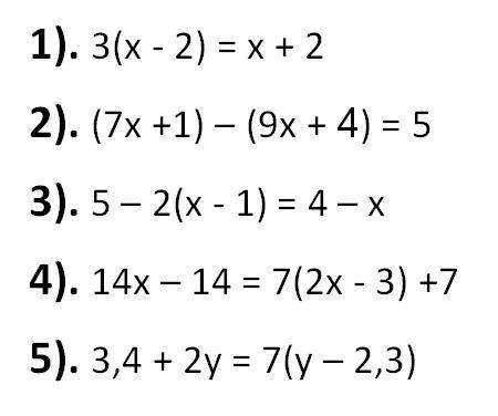
1) 3(x-2)=x+2
3x-6=x+2
3x-x=2+6
2x=8
x=8:2
x=4
2)7x+1-9x-4=5
- 2x-3=5
- 2x=5+3
- 2x=8
x=8:(-2)
x= - 4
3) 5-2(x-1)=4-x
5-2x+2=4-x
7-2x=4-x
- 2x+x=4-7
- x=-3
x=3
4) 14x-14=7(2x-3)+7
14x-14=14x-21+7
- 14=-21+7
- 14= - 14
x=-14:(-14)
x=1
5) 3,4+2y=7(y-2,3)
3,4+2y=7-16,1
2y-7y=-16,1-3,4
- 5y=-19,5
y=-19,5:(-5)
y=3,9
Похожие вопросы
Предмет: Английский язык,
автор: luneva1971
Предмет: Русский язык,
автор: zalalov
Предмет: Английский язык,
автор: katruna13
Предмет: Математика,
автор: rimkam2020
Предмет: Обществознание,
автор: 999maz