Предмет: Математика,
автор: kgigufu
срочно при срочно, кто шарит, помогите)))
Приложения:
Ответы
Автор ответа:
2
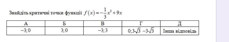
f(x)=-1/3 * x³ + 9x
f'(x)=-1/3*3*x²+9
f'(x)=9-х²
9-х²=0; (3-х)(3+х)=0
при (3-х)=0 х=3
при (3+х)=0 х=-3
ответ: В.
Похожие вопросы
Предмет: Українська література,
автор: KSNREDK
Предмет: Русский язык,
автор: miss25072001
Предмет: Русский язык,
автор: Вконтакте12
Предмет: Алгебра,
автор: vitaludgero
Предмет: Биология,
автор: TylerJoseph12three