Предмет: Математика,
автор: Аноним
пожалуйста!!! Срочно нужно!!!
Приложения:
Ответы
Автор ответа:
1
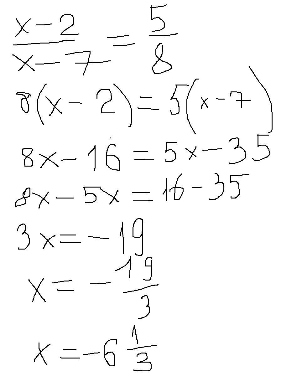
Ответ:
Пошаговое объяснение:
Приложения:
Похожие вопросы
Предмет: Русский язык,
автор: DikoSya1703
Предмет: Русский язык,
автор: Достучатсядонебес
Предмет: Русский язык,
автор: ArinaLove14
Предмет: Математика,
автор: Adiusha
Предмет: Математика,
автор: upluska1997