Предмет: Алгебра, автор: kirill21935

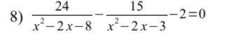
Решить через метод введения новой переменной
ответ и решение

Приложения:

Ответы

Автор ответа: Universalka
1

Сделаем замену :

x² - 2x - 8 = m , тогда   x² - 2x - 3 = m + 5

\frac{24}{m}-\frac{15}{m+5}-2=0\\\\\frac{24m+120-15m-2m^{2}-10m }{m(m+5)}=0\\\\\frac{2m^{2}+m-120 }{m(m+5)}=0\\\\\left \{ {{2m^{2}+m-120=0 } \atop {m\neq0;m\neq-5}} \right. \\\\2m^{2}+m-120=0\\\\D=1^{2}-4*2*(-120)=1+960=961=31^{2}\\\\m_{1} =\frac{-1-31}{4}=-8\\\\m_{2}=\frac{-1+31}{4} =7,5

1)x^{2} -2x-8=-8\\\\x^{2} -2x=0\\\\x(x-2)=0\\\\x_{1}=0\\\\x-2=0\\\\x_{2}=2\\\\2)x^{2}-2x-8=7,5\\\\x^{2}-2x-15,5=0\\\\D=(-2)^{2}-4*(-15,5)=4+62=66\\\\x_{3}=\frac{2-\sqrt{66}}{2} \\\\x_{4}=\frac{2+\sqrt{66}}{2}


kirill21935: блин
kirill21935: Мне бы через т а не через м
Universalka: Подставить t везде вместо m тоже не можешь ?
kirill21935: точно
kirill21935: блин
kirill21935: Спасибо за решения, выручил(а)!
Похожие вопросы
Предмет: История, автор: elvirasayfutdinova
Предмет: Алгебра, автор: Аноним