Предмет: Физика,
автор: Аноним
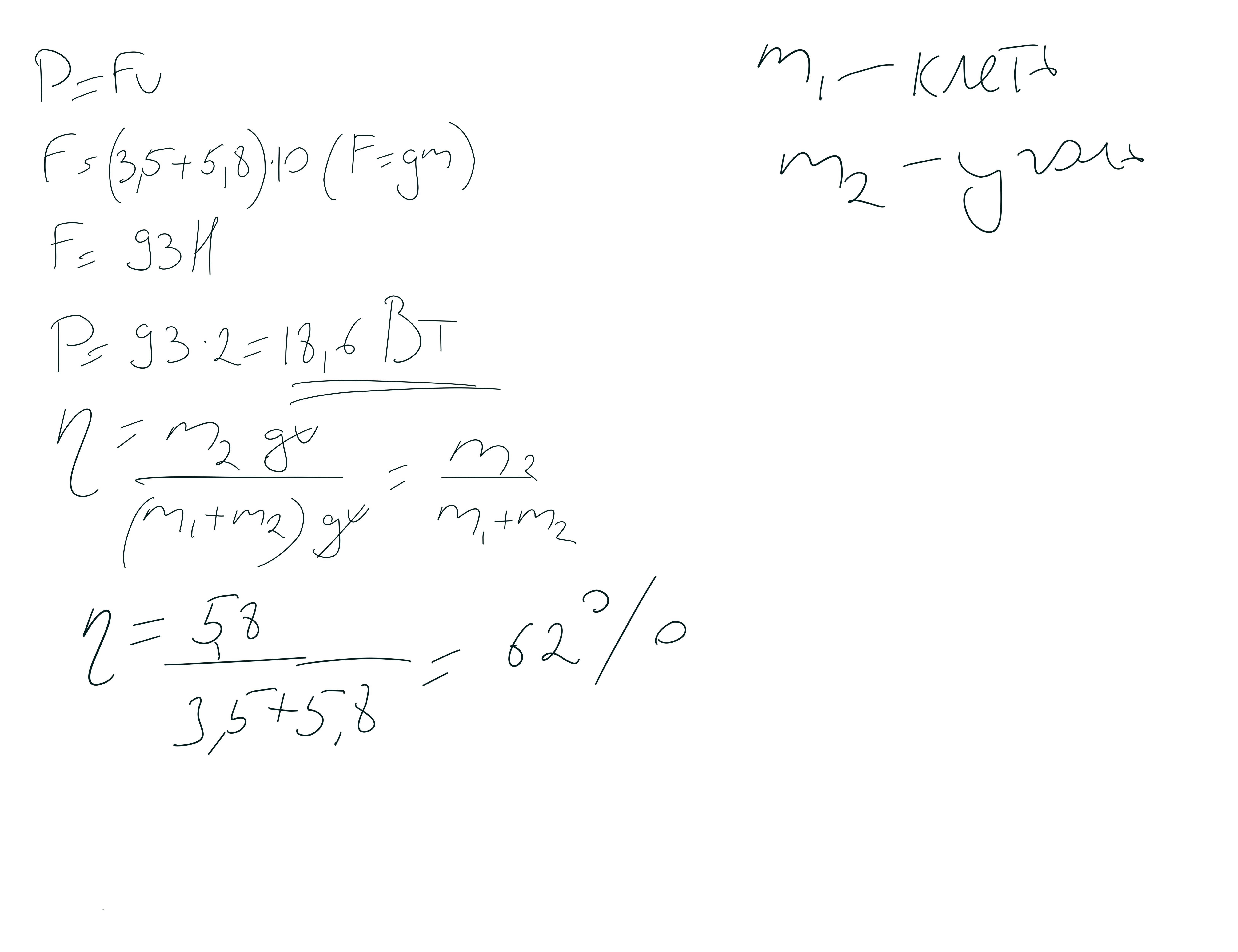
Из шахты подняли клеть с углём со скоростью 2 м/с.
Вычисли КПД подъёмника, если масса клети — 3,5 т, а масса угля — 5,8 т.
СРОЧНОООООО!!!!!!!!!!! УМОЛЯЯЮЮЮ!!!!!!!!!!
15 БАЛЛООООООООВ!!!!!!!!
Ответы
Автор ответа:
1
Здесь все есть
Отметь решение как лучшее, пожалуйста
Приложения:
sav1nav1k:
ага
А ТУТ ВТ
ИЗВИНИТЕ Я НЕ СИЛЁН В ФИЗИКЕ
ПРАВИЛЬНО ЖЕ ?
о, точно сейчас дополню
ПОМОГИТЕ
готово, прошу прощения за невнимательность
СПАСИБО, УДАЧИ ТЕБЕ ВО ВСЁМ
благодарю))
помоги!!!!!!!!!!!
Похожие вопросы
Предмет: Английский язык,
автор: Александр778901
Предмет: Русский язык,
автор: nadyakudasheva
Предмет: Русский язык,
автор: grujulvik
Предмет: Обществознание,
автор: CR16
Предмет: Математика,
автор: AnGeLoK1122