Предмет: Математика,
автор: mrromai2015
Помагите выделить целую часть
Приложения:
YaraBr:
Це ділення?
Ответы
Автор ответа:
0
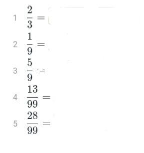
Ответ:
1.- 0,6
2.- 0,1
3.- 0,5
4. - 0,1
5.- 0, 2;
надіюсь я тобі допомогла.)
Похожие вопросы
Предмет: Английский язык,
автор: vlasovamaiak
Предмет: Русский язык,
автор: Marina2214
Предмет: Русский язык,
автор: Marina2214
Предмет: Химия,
автор: iqLL
Предмет: Математика,
автор: Аноним