Предмет: Алгебра,
автор: Аноним
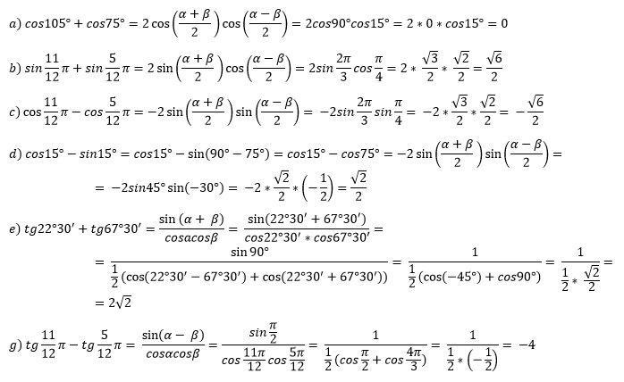
вычислите без таблиц!!!
Приложения:
Ответы
Автор ответа:
1
~~Ответ во вложении~~
Приложения:
Похожие вопросы
Предмет: Другие предметы,
автор: Diana228228
Предмет: Русский язык,
автор: gastello119
Предмет: Другие предметы,
автор: antipka31
Предмет: Алгебра,
автор: zabota1973
Предмет: Геометрия,
автор: oksi0025